menu

6.1.5 Pojem elektrického poľa

Predchádzajúce úvahy môžeme zovšeobecniť na ľubovoľnú sústavu nábojov, ktorá vyvoláva silové účinky na testovací náboj q v bode r. Ak vo vzťahu (6.1.10)  vydelíme silu F veľkosťou testovacieho náboja q, dostaneme novú veličinu, ktorú budeme označovať ako E

                                                                                                                   (6.1.14)

Táto veličina sa číselne rovná sile, ktorá v danom bode r pôsobí na jednotkový elektrický náboj, ale jej rozmer je N/C teda iný ako mala pôvodná sila. Túto veličinu budeme nazývať "intenzitou elektrického poľa". Pritom nesmieme zabúdať, že ide o vektorovú veličinu, tak ako bola pôvodná sila. Pritom musí byť splnená podmienka, že testovací náboj q je dostatočne malý a neovplyvňuje pôvodné rozloženie nábojov qi , takže výsledná veličina E nezávisí od veľkosti a znamienka náboja q. Ak poznáme intenzitu elektrické poľa v danom mieste r, tak sila pôsobiaca na ľubovoľný náboj v tomto mieste je

          F = qE                                                                                                          (6.1.15)

Samozrejme, veľkosť a smer sily F pôsobiacej na náboj q závisí od jeho polohy r teda je funkciou r. To znamená, že aj intenzita poľa E je funkciou polohy r, čiže

          E = E(r)                                                                                                      (6.1.16)

Doteraz sme sa zaujímali o intenzitu elektrického poľa v konkrétnych bodoch. Ukazuje sa však, že má význam študovať aj všeobecne funkciu E(r), ako vektorové pole. Preto v ďalšom vyhradíme pre túto funkciu pojem „elektrické poleE.  Konkrétna hodnota poľa E v určitom bode r potom predstavuje intenzitu elektrického poľa. Rozdiel medzi pojmami „intenzita poľa“ a „pole“ sa v praxi prísne nerozlišuje a termín  „pole“ sa  často používa aj v zmysle intenzity poľa.

Ak poznáme presné rozloženie elektrických nábojov v priestore je určenie sily priamo zo vzťahu (6.1.10), alebo prostredníctvom intenzity elektrického poľa plne ekvivalentné. V praxi sa však obyčajne stretávame so situáciou, keď presné rozloženie elektrických nábojov nepoznáme, vieme však pomocou testovacieho náboja určiť elektrické pole E(r), ktoré v rôznych miestach r na náboje pôsobí. Tým pojem elektrického poľa nadobúda nový význam z viacerých dôvodov:

1.      Primárna veličina, ktorú vieme experimentálne určiť, teda zmerať, je elektrické pole E(r).

2.      Matematicky možno ukázať, že rovnaké elektrické pole v určitej oblasti môžu vyvolávať rôzne konfigurácie nábojov.

3.      Pri zmene polohy nábojov sa príslušná zmena v silovom pôsobení vo väčších vzdialenostiach neprejaví okamžite, ale až s určitým oneskorením, ktoré je dané rýchlosťou šírenia svetla. To znamená, že elektrické pole v danom mieste zodpovedá nie súčasnej ale minulej konfigurácii elektrických nábojov. Dokonca pri niektorých premenách môžu častice, ktoré pole v danom mieste vyvolávajú medzičasom zaniknúť (anihilovať, napr. elektrón s pozitrónom), ale ich pole ešte istý čas v danom mieste pôsobí na testovací náboj!

Z uvedeného vyplýva, že popis elektrických javov pomocou elektrického poľa, t.j. vektorovej funkcie súradníc a prípadne i času, lepšie zodpovedá skutočnosti  a predstavuje tak novú kvalitu vo fyzikálnom poznaní sveta. Vo všeobecnosti je elektrické pole funkciou ako priestorových súradníc tak aj času. Tejto kapitole sa zaoberáme iba špeciálnym prípadom statických polí, čo zdôrazňujeme termínom „elektrostatické pole“.

_________________________________________________________________________________

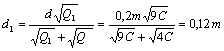
Príklad 6.1.4.1 Vo vzdialenosti 20 cm od seba sú pevne uložené dva kladné náboje 8mC a 5mC. V ktorom mieste na ich spojnici sa intenzita elektrického poľa rovná nule?

Obr. 6.1.4.1

Riešenie:

              

               d = 20 cm

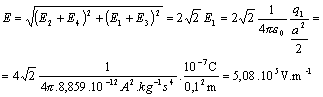
 Podľa  obrázka je zrejmé, že výsledná intenzita môže byť nulová iba v oblasti II. Výsledná intenzita elektrického poľa v bode P sa rovná súčtu intenzít * a , ktorými prispievajú jednotlivé náboje. Intenzita sa rovná nule, keď *+ = . Podľa obrázka je to vtedy, keď , teda .

Po použití vzťahu  a odmocnení rovnice dostaneme

, po úprave

Intenzita je nulová vo vzdialenosti 12 cm od väčšieho náboja.

Príklad 6.1.4.2 Vo vrcholoch štvorca so stranami 10 cm sú umiestnené 4 rovnako veľké náboje s veľkosťou 10-7 C. Určite veľkosť a smer intenzity elektrostatického poľa v strede štvorca ,

ak znamienka nábojov q1 , q2 , q3,  q4

a) ++++

b) + - + -

c) + + - -

Riešenie: Výsledná intenzita elektrického poľa v strede štvorca je daná súčtom intenzít od jednotlivých nábojov:       .

Pretože náboje sú rovnako veľké ( ) a majú rovnakú vzdialenosť od stredu štvorca, platí pre veľkosť intenzity: .

 

 

Výsledná intenzita v prípade a) aj v prípade b) sa rovná nule.

V prípade c) je smer výslednej intenzity  znázornený na obrázku c). Výsledná intenzita má veľkosť

 

 

 

 

 

 

 

 

________________________________________________________________

 


menu